Возражение на акт налоговой проверки помогает оспорить выводы инспекции, доказать правомерность действий и снизить доначисленные налоги, штрафы и пени.
Грамотно составленное возражение обращает внимание налоговой на спорные моменты и может изменить итоги проверки в пользу налогоплательщика. Разбираемся, как подготовить документ, когда подать и какие нюансы учитывать.
Что такое возражение на акт налоговой проверки
Возражение на акт налоговой проверки по НДС или другим налогам — это заявление налогоплательщика о несогласии с выводами инспекции. Его подают по всему акту или отдельным пунктам, чтобы указать на выводы налогового органа, с которым не согласен налогоплательщик.
Право на подачу возражений закреплено ст. 100 НК РФ. Если не заявить позицию вовремя, сложнее будет отстаивать её при обжаловании или в суде.
Возражение не отменяет акт, но позволяет представить аргументы и доказательства до вынесения окончательного решения. Инспекция обязана их рассмотреть, но может не согласиться.
Налоги всегда под контролем с сервисом «Моё дело». Система сама рассчитает суммы с учётом актуальных ставок и вашей системы налогообложения, а автозаполнение документов поможет избежать ошибок. Получить бесплатный доступ
Для чего необходимо составлять возражение на акт налоговой проверки
Возражение на акт налоговой проверки — инструмент защиты бизнеса. Оно помогает выразить несогласие с выводами инспекции и повлиять на итог проверки.
Главная цель — защитить права и сократить доначисления, штрафы и пени. Предприниматель может представить документы и аргументы, подтверждающие правомерность действий, что часто уменьшает суммы претензий.
Возражение позволяет указать на ошибки и представить корректные пояснения к акту проверки, подкреплённые документами.
Документ фиксирует позицию налогоплательщика для дальнейших споров с налоговой или в суде и обязывает инспекцию внимательнее рассматривать доводы.
Нюансы камеральной проверки
Камеральная проверка проходит без выездов и основана на анализе деклараций и поданных документов.
Чаще споры возникают из-за налоговых вычетов, ошибок в декларациях и расчётах. Нередко проблема связана не с нарушениями, а с формальными неточностями или слабым обоснованием.
В таких случаях необходимо написать возражение на акт камеральной проверки налоговой инспекции. Грамотно подготовленные пояснения и доказательства помогают инспекции пересмотреть спорные выводы.
Как возражения могут повлиять на результаты налоговой проверки
Возражения на акт налоговой проверки помогают предпринимателю опровергнуть доводы инспекции, снизить или исключить доначисления и защитить свои права. Например, уменьшить сумму претензий или отменить отдельные начисления.
Возражения дают шанс снизить штрафы, если указать смягчающие обстоятельства и приложить подтверждающие документы.
Они помогают указать на процессуальные нарушения, например, недостаток времени для представления документов или нарушение сроков проверки.
Грамотно подготовленные возражения могут привести к полному или частичному пересмотру акта, исключению спорных пунктов и снижению претензий.
Как правильно составить возражение на акт налоговой проверки
Возражение на акт налоговой проверки 3-НДФЛ или в другой ситуации составляется только письменно — устные пояснения не фиксируют позицию и не пригодны для жалобы или суда.
Закон не устанавливает строгого образца, но требует логичной структуры и делового стиля: реквизиты, ссылки на нормы закона, доказательства. Текст должен быть сдержанным и опираться на факты.
Нужно оспаривать конкретные пункты акта: указать номер и формулировку, описать ситуацию, привести ссылки на закон и приложить документы. Если при проверке были нарушены процессуальные правила, это также следует указать.
В конце возражения просят пересмотреть спорные позиции и уведомить о решении, прилагают перечень подтверждающих документов. Перед подачей нужно проверить реквизиты, ссылки и приложения, а при передаче — получить отметку о приёме.
Структура возражения: «шапка», вступительная часть и основное содержание
Чёткая структура делает возражение понятным для инспекции и повышает шансы на пересмотр спорных пунктов. Документ должен позволять инспектору легко сопоставить доводы с положениями акта.
Шапка (реквизиты). Указывают:
- наименование налоговой инспекции с индексом и адресом;
- данные налогоплательщика — название организации или ФИО ИП, ИНН, адрес, телефон;
- номер и дату возражения;
- заголовок: «Возражение на акт налоговой проверки № … от …».
Вступительная часть. Кратко описывают ситуацию:
- дата и способ получения акта;
- указание на несогласие с отдельными пунктами;
- просьба рассмотреть доводы и пересмотреть спорные положения.
Основное содержание и доводы. Ключевая часть:
- указывают конкретные пункты акта;
- описывают фактические обстоятельства;
- приводят ссылки на нормы НК РФ, разъяснения ФНС, судебную практику;
- прикладывают подтверждающие документы: счета, первичку, акты сверок, выписки.
Отдельно отмечают процессуальные нарушения: нарушение порядка проверки, ограничение доступа к материалам, несоблюдение сроков.
Заключение. Формулируют итоговую просьбу:
- отклонить спорные положения акта и пересчитать обязательства;
- отменить штрафы и пени;
- уведомить о принятом решении.
Приложения. Перечисляют все документы:
- копию акта или его фрагменты;
- копии первичных документов, расчётов, справок;
- доверенность представителя.
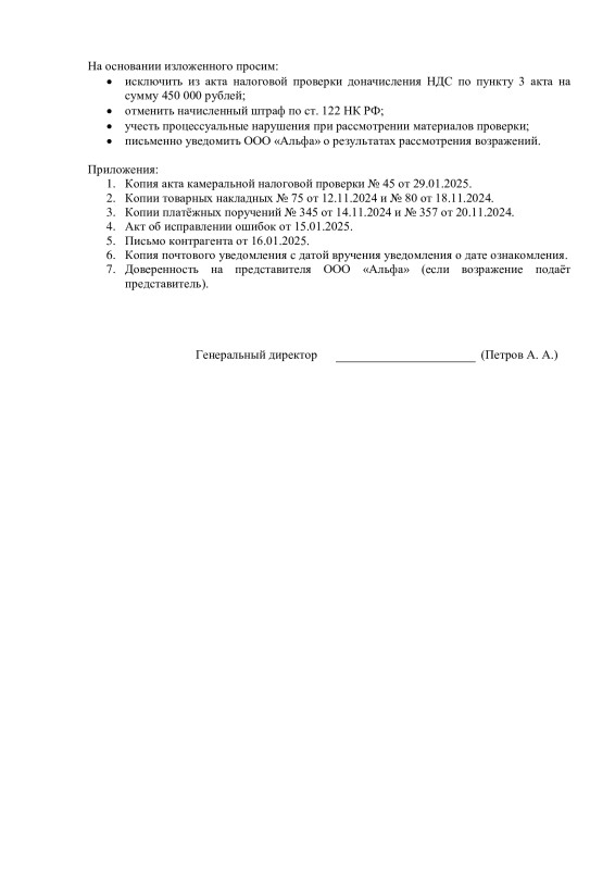
Пример возражения на акт налоговой проверки
Чтобы составить корректный ответ, посмотрите пример возражения на акт налоговой проверки. Соблюдайте структуру и подход к аргументированию, чтобы инспекторы пересмотрели свое решение.
Пример возражения на акт налоговой проверки (1)
Пример возражения на акт налоговой проверки (2)
Типичные ошибки при составлении возражений
Грамотно подготовленные возражения по акту проверки повышают шансы на пересмотр спорных пунктов, но предприниматели часто ошибаются.
Отсутствие конкретики. Фраза «не согласен со всем актом» бесполезна. Нужно указывать конкретные пункты акта с номерами и формулировками, чтобы инспекция могла сопоставить их с доводами.
Нет правовых обоснований. Фактов недостаточно — каждый довод нужно подтверждать ссылками на нормы НК РФ, письма ФНС, Минфина и при необходимости решения судов.
Нет или неверно оформлены доказательства. Аргументы теряют силу без подтверждающих документов. Каждое утверждение должно сопровождаться копиями с подписями, датами и указанием спорного пункта акта.
Ошибки в реквизитах и сроках. Неверные данные или просрочка подачи снижают шансы на рассмотрение. Срок отсчитывается со следующего дня после получения акта.
Эмоциональный тон. Обвинительные формулировки ослабляют документ. Важно сохранять деловой стиль и опираться на факты.
Игнорирование процессуальных нарушений. Нужно указывать нарушения процедуры и подтверждать их доказательствами — уведомлениями, копиями запросов.
Сэкономьте время на работе с документами и расчётами. Передайте эти заботы специалистам «Моего дела». Мы посчитаем и оплатим налоги, взносы в соответствии с законодательством. Оставить заявку
Какие сроки подачи возражений на акт налоговой проверки
Письменное возражение на акт камеральной налоговой проверки подают в течение 30 календарных дней со дня получения акта — п. 6 ст. 100 НК РФ.
Считают со следующего дня после вручения. Если последний день выпадает на выходной или праздник, срок переносится на ближайший рабочий день.
При подаче возражений на дополнение к акту срок сокращается до 15 дней — п. 6.2 ст. 101 НК РФ. Для консолидированных групп налогоплательщиков — 30 дней для акта и 15 дней для дополнения.
Если возражение не подано вовремя, предприниматель может изложить доводы устно или письменно при рассмотрении материалов проверки. Однако своевременная подача позволяет учесть аргументы заранее.
При несогласии с итоговым решением инспекции можно подать жалобу в вышестоящий налоговый орган в течение года, а затем — иск в суд по установленным процессуальным срокам.
Как и куда подавать возражения на акт налоговой проверки
Возражение подают в налоговую инспекцию, проводившую проверку. Нужно убедиться в правильности наименования, адреса и индекса, чтобы избежать задержек.
Способы подачи:
- Лично. Подготовьте два экземпляра: один сдаётся в инспекцию, на втором ставят отметку о приёме с датой и подписью.
- Через представителя. Требуется нотариальная доверенность, которая подтверждает право действовать от имени ИП или организации.
- По почте. Отправляют заказным письмом с описью вложения и уведомлением о вручении.
- В электронной форме. При наличии электронной подписи возражение подают через личный кабинет или оператора ЭДО.
Подготовка документов для подачи
Главную роль играют письменные возражения по акту налоговой проверки. В них указывают реквизиты инспекции и налогоплательщика, дату, подпись, спорные пункты акта и аргументы с доказательствами.
К возражению прикладывают:
- копии договоров, счетов-фактур, накладных, актов сверок, выписок, платёжных поручений и расчётов;
- копию акта или его спорных разделов для удобства инспекции и упрощения анализа;
- переписку с инспекцией, акты проверок и пояснительные записки, чтобы точнее раскрыть спорные моменты и подтвердить доводы.
Если документы подаёт представитель, нужна доверенность с правом подачи возражений. Без неё инспекция откажется принимать документы.
Электронная подача возражений — как это работает
Электронная подача возражения позволяет отправить документ без визита в инспекцию и сохранить его юридическую силу. Способ доступен предпринимателям и организациям с квалифицированной электронной подписью (КЭП), которая подтверждает личность отправителя.
Платформа фиксирует дату и время поступления, что подтверждает подачу в срок. КЭП, выданная аккредитованным центром, приравнивается к собственноручной подписи.
Способы отправки:
- Через личный кабинет ФНС: загружается файл с возражением, подписывается КЭП, система фиксирует дату и время приёма.
- Через ЭДО: документ передаётся по защищенному каналу, оператор формирует подтверждение доставки.
Нужно сохранить копию отправленного файла, квитанцию или уведомление системы с датой и временем приёма, при необходимости — скриншоты или протоколы.
Результаты рассмотрения возражений на акт налоговой проверки
Налоговая инспекция рассматривает возражения вместе с материалами проверки и может отклонить их или удовлетворить полностью либо частично. В случае удовлетворения спорные пункты исключают из акта или уменьшают доначисления и штрафы.
Руководитель инспекции назначает рассмотрение в течение 10 рабочих дней после окончания срока подачи возражений.
Налогоплательщик или его представитель могут присутствовать на заседании, давать пояснения и представлять документы. Если письменные возражения не поданы в срок, позицию можно изложить устно.
По итогам рассмотрения инспекция вносит изменения в акт или оставляет его без изменений. В последнем случае можно обжаловать решение в вышестоящем органе или суде.
Даже при частичном удовлетворении важно изучить решение инспекции, чтобы понять, какие доводы сработали, а какие нет, и скорректировать стратегию защиты.
Что делать, если возражения отклонены
Отказ налоговой не лишает права на защиту. Сначала нужно изучить мотивировку решения инспекции, чтобы понять, какие аргументы оказались слабыми и требуют усиления.
Затем проверить, были ли в первоначальном ответе на акт проверки указаны все спорные пункты. Если их не оспаривали на этом этапе, позже обжаловать нельзя — действует принцип обязательного обжалования.
Следующий шаг — апелляционная жалоба в вышестоящий налоговый орган с чётким указанием спорных выводов и приложением доказательств. Если жалоба не помогла, можно обратиться в суд.
В суд подают иск с аргументами и документами. Жалобу подают в течение трёх месяцев после решения вышестоящего органа.
Особое внимание стоит уделить процессуальным нарушениям: нарушению сроков, ограничению доступа к материалам, отсутствию уведомлений. Эти факты могут стать дополнительными аргументами при обжаловании и основанием для отмены решения налоговой.
Когда можно ожидать решение по возражениям
Обычно решение принимается в день заседания, где рассматривают доводы и документы. Иногда его оформляют позже, но предпринимателю выдают уведомление о результатах.
Инспекция обязана направить письменное уведомление с итогами: какие доводы учтены, какие отклонены и какие изменения внесены в акт. Этот документ определяет момент, с которого предприниматель может действовать дальше.
Если решение не устраивает, с даты уведомления начинается срок подачи апелляционной жалобы или обращения в суд. Поэтому важно учесть дату получения и вовремя подготовить следующий шаг защиты.
Ответственность за неправильное оформление возражений
Ошибки при составлении возражения на штраф в налоговую могут привести к тому, что документ не примут, а доводы останутся без внимания.
Если в возражении нет подписи, даты или реквизитов, инспекция вправе не рассматривать документ. Поэтому нужно внимательно проверять оформление и реквизиты.
Если не указать все спорные пункты, их нельзя будет оспорить позже. Лучше включить все несогласованные моменты, даже без полного набора доказательств.
Слабая аргументация также снижает шансы на успех. Документ с общими фразами без ссылок на нормы закона и документы не производит юридического эффекта. Особое внимание стоит уделить достоверности сведений. За ложные данные возможен штраф по ст. 126.1 НК РФ.
Если возражение подано с опозданием, налоговая может не принять его к рассмотрению, и акт проверки останется без изменений.
Заключение: Как избежать проблем с налоговой проверкой
Проблем с проверкой можно избежать, если заранее наладить бухгалтерский и налоговый учёт. Своевременное оформление документов и отсутствие ошибок в реквизитах помогут пройти проверку без доначислений.
Полезно проводить внутренние сверки перед сдачей деклараций — это позволяет устранить спорные моменты до вмешательства инспекции. При получении уведомления стоит собрать «защитное досье»: договоры, акты, переписку и расчёты, чтобы быстро представить нужные доказательства.
Важно соблюдать сроки. На подачу возражений по акту налоговой проверки и ознакомление с материалами отводятся чёткие рамки. Пропуск сроков может лишить права на защиту.
Если ситуация сложная, стоит привлечь налогового консультанта. Он поможет выявить риски и подготовить пояснения, чтобы снять вопросы ещё на стадии проверки.
Возражения должны быть конкретными и обоснованными. Лучше выделить спорные пункты и подтвердить позицию документами и ссылками на нормы закона. Если их не приняли, можно подать апелляционную жалобу или обратиться в суд, чтобы снизить доначисления и штрафы.
Прочитайте другие полезные материалы по налоговым вопросам
Чтобы подготовиться к налоговой проверке, прочитайте статью об основных видах мероприятий. Здесь рассказали о критериях, по которым налоговая определяет организации и ИП для проверки.
Часто задаваемые вопросы
Налоговая инспекция направляет уведомление в личный кабинет налогоплательщика на сайте ФНС. Акт могут передать лично под подпись, по почте заказным письмом или через систему электронного документооборота (ЭДО). Датой получения считается день, когда документ вручён, доставлен в личный кабинет или поступил на электронную платформу.
Возражение составляет сам налогоплательщик — руководитель организации, ИП или уполномоченный представитель. Главное — подтвердить полномочия доверенностью, если документ подаёт представитель. Возражения на акт выездной налоговой проверки вправе направлять любое лицо, в отношении которого проводилась проверка, при наличии необходимых документов и доказательств.
Если срок подачи возражений пропущен, налогоплательщик может изложить свою позицию во время рассмотрения материалов проверки — устно или письменно. Можно подать апелляционную жалобу в вышестоящий налоговый орган после получения решения и попытаться отстоять свои доводы на следующем этапе.
Даже если в акте нет явных ошибок, налогоплательщик вправе подать возражения, если не согласен с выводами инспекции или интерпретацией норм закона. Возражения помогают уточнить обстоятельства, добавить документы и пояснения, которые могли не учесть при проверке.
Если налоговая отклонила возражения, можно подать апелляционную жалобу в вышестоящий налоговый орган. Если жалоба не будет удовлетворена, следующий шаг — обращение в арбитражный суд. При этом важно проанализировать мотивы отказа и уточнить аргументы, чтобы укрепить позицию на следующем этапе.
К возражению прикладывают копии документов, подтверждающих вашу позицию: договоры, счета, акты, накладные, платёжные поручения, расчёты, акты сверок и пояснительные записки. Желательно приложить копию самого акта проверки и доверенность, если возражение подаёт представитель.
Возражения допускается подать в электронном виде через личный кабинет налогоплательщика на сайте ФНС или систему ЭДО, если у вас есть квалифицированная электронная подпись. Структура документа остаётся такой же, как в бумажной форме — можно ориентироваться на пример возражения на акт налоговой проверки.
Статус рассмотрения возражений можно отслеживать через личный кабинет налогоплательщика на сайте ФНС. Налоговая сообщит о дате и результатах рассмотрения — это может быть уведомление по почте, через ЭДО или электронное сообщение в личный кабинет.
Возражение вправе составить сам предприниматель или руководитель организации — участие юриста не обязательно. Главное — чётко изложить позицию, привести факты, ссылки на нормы закона и приложить подтверждающие документы, как это делают при подготовке пояснений к акту проверки.
Возражения по НДС и НДФЛ составляются по одной структуре, но различаются по содержанию. В возражениях по НДС акцент делают на правильности применения вычетов, счетах-фактурах и подтверждающих документах, а по НДФЛ — на правильности удержания, расчёта и перечисления налога с доходов сотрудников.
Если акт составлен с нарушениями — например, без подписи должностных лиц или с ошибками в выводах, налогоплательщик вправе подать письменные возражения по акту налоговой проверки. В них указывают на допущенные нарушения и требуют пересмотреть результаты проверки.
Если возражения оформлены без подписи, реквизитов или подтверждающих документов, налоговая может не принять их к рассмотрению. При подаче ложных сведений возможна ответственность по ст. 126.1 НК РФ за представление недостоверных данных, что влечёт штраф за каждый документ с ошибками.